EZOMED is a Powerful Lebanese Patent, that has become too an International Patent: Registered Lebanese Patent # 10546 dated Feb 12, 2015. Patented by the WIPO (World Intellectual Property Organization) – International Bureau, Geneva, Switzerland with International Publication # WO2016/128868 published on August 18, 2016 for International Patent Application # PCT/IB2016/050599 filed on February 5, 2016. USA (Application Number: 15/550907). Europe (Application Number: 16708208.0) – 38 countries. EurAsia (Application Number: 201791810) – incl. Russia, Armenia and the Stan countries. Japan (Application Number: 2017-561048). India (Application Number: 201717031895). Australia (Application Number: 2016217596). South Africa (Application Number: 2017/06866). Brazil (Application Number: 11 2017 017347 6). Saudi Arabia (Application Number: 517382115). Iran (Application Number: 139650140003005956). Egypt (Application Number: 1372/2017).

Patent Explained

Disinfectants, antiseptics, sterilizers and sanitizers are they the same?

Sterilizers A material that renders surfaces and objects sterile, i.e. free from all micro-organisms
Disinfectant or Antisepticor A material that reduces the number of living micro-organisms to a level lowenough to limit the release of micro-organisms which could cause transmission of infection or disease, so not necessarily reaching sterile
Sanitizers General term, no clear definition, so term to be avoided in the field of antiseptics & disinfectants.

Quanternary Ammonium is widely recognized and used Disinfectant that is safe enough to be in toothpastes, mouthwash & cosmetics.

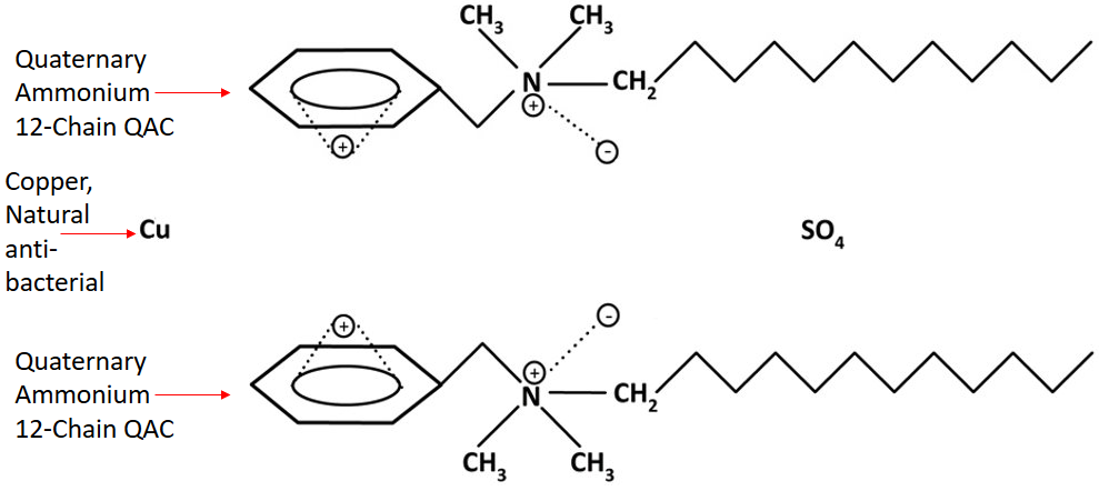
EZOMED is a π-complex of C12 Quaternary Ammonium Chloride (Dodecyl Dimethyl Benzyl Ammonium Chloride) with ion Copper, so it benefits from both worlds (Quaternary Ammonium disinfectant + copper-based antimicrobial) with more synergy and biocidal activity but with less toxicity

Efficacy
Shortest contact time
Equipment & Surface Compatibility​
Cleaning Ability​
Efficiency: Log Reduction

The detergent disinfectant can be also applied to sectors outside Hospital Operating rooms, ICUs, and Hospital general applications, to applications ranging from Dentists, Laboratories, Pharmaceutical Industries, Water Treatment Plants, Swimming Pools, Restaurants, Industries (F&B mainly but also packaging, cosmetics, …), Schools, Hotels, Malls, Personal use, etc…


  1. 12-chain Quaternary Ammonium – one of the Best in the family of Quaternary Ammonium Chlorides, which is a very well-known Disinfectant. Our molecule includes 2 x 12-chains.​
  2. The π-Complex, which increases dramatically the killing power over bacteria, viruses, fungi and other micro-organisms, while reducing the toxicity (vs. humans) of the product at the same time​
  3. The additional power of Cu (Copper) in the π-Complex. Copper being a natural anti-microbial element​